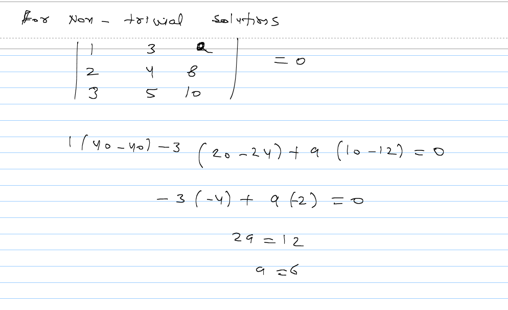
The system of linear equations x + 3y + ( +2)z = 0, 2x + 4y + 8z = 0, 3x + 5y + 10z = 0 has non-trivial solution, when is a) -2 b) 2 c) 4 d) -4
The system of linear equations x + 3y + ( +2)z = 0, 2x + 4y + 8z = 0, 3x + 5y + 10z = 0 has non-trivial solution, when is a) -2 b) 2 c) 4 d) -4











