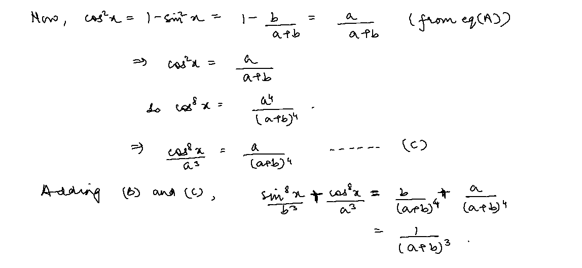
IF+COS*4/A*3+SIN*4/A=1/A=B SHOW THAT COS*8/A*3+SIN*8/B*3=1/(A+B)*3
IF+COS*4/A*3+SIN*4/A=1/A=B SHOW THAT COS*8/A*3+SIN*8/B*3=1/(A+B)*3

Last Activity: 3 Years ago

Last Activity: 3 Years ago

Last Activity: 3 Years ago

Last Activity: 3 Years ago

Last Activity: 3 Years ago