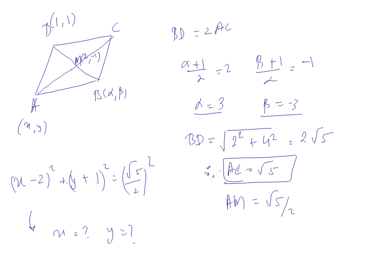
ABCD is a rhombus such that its its diagonals AC and BD intersect at M and satisfy BD=2AC. If the points D and M represent the complex no. 1+i and 2-i respectively, then which complex no. does A represent?
ABCD is a rhombus such that its its diagonals AC and BD intersect at M and satisfy BD=2AC. If the points D and M represent the complex no. 1+i and 2-i respectively, then which complex no. does A represent?











