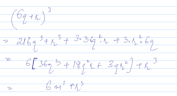
My question is in the photo. Please help me solve. Thank you so much.


How do you find the Maclaurin series for tanx?
Last Activity: 5 Months ago

Why is Axiom 5, in the list of Euclid’s axioms, considered a ‘universal truth’? (Note that the equation is not about the fifth postulate.)
Last Activity: 5 Months ago

The smallest composite number is ______.
(a) 2
(b) 4
(c) 1
(d) None of these
Last Activity: 5 Months ago

Find the arithmetic mean of the first ten odd natural numbers.
Last Activity: 5 Months ago
