5 most important questions in Mechanics for this year JEE Main and Advanced
An approach with the science dignity…
IIT-JEEis considered inmost difficult entrance exam competitions to get admission into various IITs for different technical academic platform. It is characterized into two phase, JEE Main and JEE- Advanced for which counts more than 1 million students appeared.
Final entrance selection rate approaches approximately 0.58 % that leaves a question, who can be in the list of All India Ranking of IIT-JEE.
Although several important topics are there in the Physics having varying weightage for exam pattern, but in this short write-up, we would like to discuss the importance of Mechanics for JEE paper.
Mechanics is a very important domain in Physics that corresponds to the physical world applications.
So, multi-conceptual question appears for the exam that includes, Kinematics, vector analysis, Motion in a plane, work power and energy, Rotational Dynamics and rigid body system, Gravitation and Oscillation.
Rather to go thoroughly, every student should have a capsule type short recap of entire Physics syllabus.
This is the time when students should be evaluating the strength of important topics of each subject, as there is the variation in the weightage of marks for different topics.
Devoting extra time on highly weightage topics is recommended by every expert.
Now for the short recap, discussion would be through 5 important questions of Mechanics for IIT-JEE.
A sequence of multi-conceptual approach is added in these following illustrations
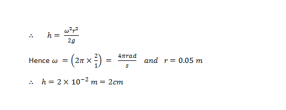
1. A liquid is kept in cylindrical vessel which is rotating along its axis. The liquid rises at the sides. If the radius of the vessel is 0.05 m and the speed of rotation is 2 rev. per second, find the  difference in the height of the liquid at the centre of the vessel and its side (g = 9.8 m/s2)

2.. A body of mass m is thrown at an angle to the horizontal with the initial velocity V0. Assuming the air drag to be negligible, find:
(a) The momentum increment ∆p that the body acquires over the first t seconds of motion;
(b) The modulus of momentum increment ∆p during the total time of motion.
Solution.(a) Since the body is subjected to a constant force mg, from the Newton’s II law rat of change of   momentum
3.. In the arrangement shown in figure, body B is a solid cylinder of mass M and radius
It can rotate without friction about a fixed horizontal axis O. A block A, suspended by an inextensible thread is wrapped around the cylinder. A horizontal lights spring of force constant k fixed at one end keeps the system in static equilibrium. Show that the time period of small vertical oscillations of the block is given by
4.  A homogeneous rod AB of length L = 1.8 m and mass M is pivoted at the center O in such a way that it can rotate freely in the vertical plane. The rod is initially in the horizontal position.ÂÂ
An insect S of the same mass M falls vertically with speed  on the point C, mid-waybetween the points O and B, Immediately after falling, the insect moves towards the end B such   that the rod rotates with a constant angular velocity .
(a) Determine the angular velocity É in terms of  and L.
(b) If the insect reaches the end B when the rod has turned through an angle of 90°, determine.
(b) After falling, the insect moves towards the end B. Now the ‘moment of inertia’ of the system  change. Let the insect be at a distance x after time t as shown in figure.
5.  A disc A of mass m sliding over a smooth horizontal surface with velocity v experiences a perfectly elastic collision with a smooth stationary wall at a point O. The angle between the motion direction of the disc and normal to the wall is equal to α. Find:
(a) The point relative to which the angular momentum L of the disc remains constant in this process;
(b) The magnitude of the increment of the vector of the disc’s angular momentum relative to the point O’ which is located in the plane of the disc’s motion at the distance l from the point O.
With this short approach towards concepts used in the given illustrations, we would get an idea of questions in the exam.
At the end of this write-up, with a moral boost capsule ‘’ Success may come and go but Achievements will remain forever. Hard work may take away, all the fun of today but will leave all the things to cherish for tomorrow. Work hard and make yourself and other people around you proud.’’
Dear viewers, hopefully I tried to give you a sure short analysis of concepts of mechanics through these five examples.
For any kind of Technical and academic discussion, you are pleased to post on the discussion board over the link.
Thanking you for analytical views for this article. I am Saurabh Kumar, a senior Academic Physics consultant with an experience of 6 years in askiitians family. So we have created the sample papers and study materials for JEE aspirants. So you can go to our website for regarding the same. Here is the link.









i thinks the solution of question number four part b is not correct
because the force due to rotation of the rod (centreffugal force) should also be taken.