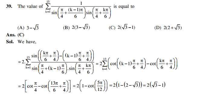
This question is actually from this years JEE Advance. The picture is of the sloution provided by this site. Can't really understand it. Please help out. I am in 11 so I may not be aware of the formula used or am just missing something. Sigma means adding but I somehow don't see that happening. Is there a shortcut or furmula for that??Thanks!!
This question is actually from this years JEE Advance. The picture is of the sloution provided by this site. Can't really understand it. Please help out. I am in 11 so I may not be aware of the formula used or am just missing something. Sigma means adding but I somehow don't see that happening. Is there a shortcut or furmula for that??
Thanks!!











