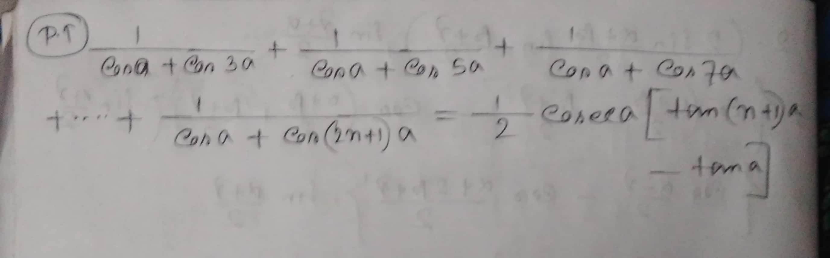
This problem is from the trigonometry chapter ` Transformations of sums and products` . I am stuck with this problem. Can anyone pls suggest me how to solve this?











