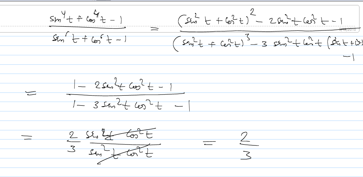
The expression sin4t + cos4t -1/ sin6t +cos6t -1 when simplified reduces to
The expression sin4t + cos4t -1/ sin6t +cos6t -1 when simplified reduces to

Last Activity: 3 Years ago

Last Activity: 3 Years ago

Last Activity: 3 Years ago

Last Activity: 3 Years ago

Last Activity: 3 Years ago