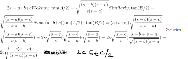
In any triangleABC prove that(a+b+c)(tanA/2+tanB/2)=2cotC/2
In any triangleABC prove that(a+b+c)(tanA/2+tanB/2)=2cotC/2

Last Activity: 3 Years ago

Last Activity: 3 Years ago

Last Activity: 3 Years ago

Last Activity: 3 Years ago

Last Activity: 3 Years ago