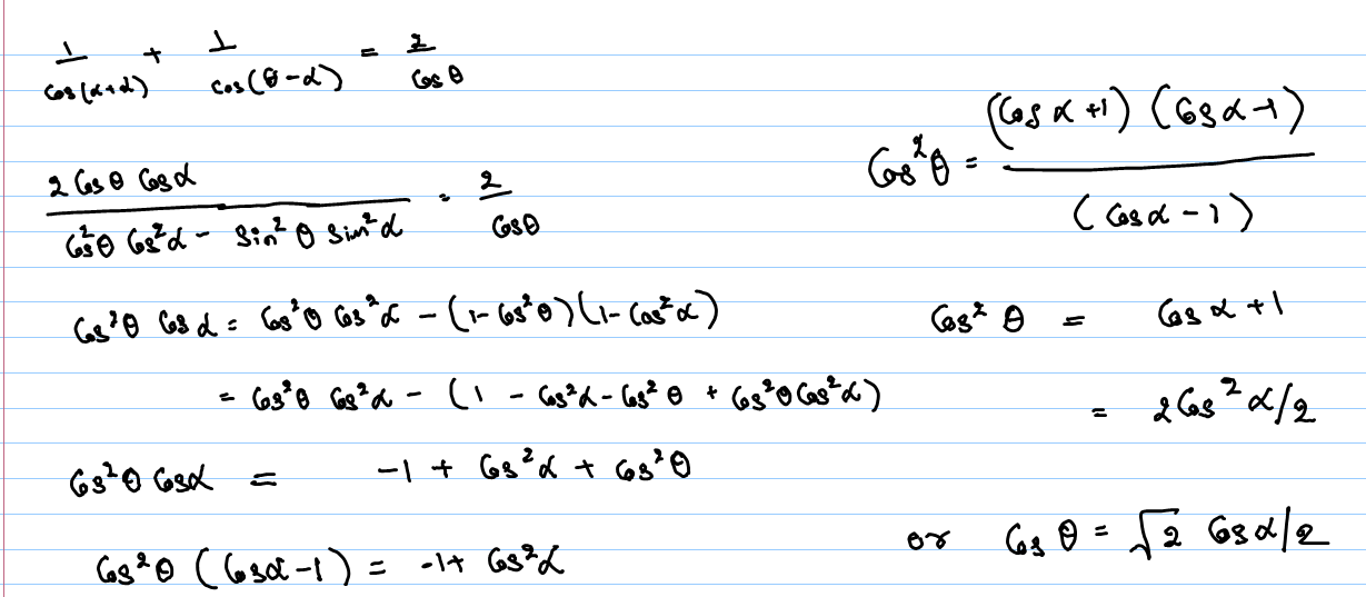
If sec(theta+alpha) + sec(theta-alpha)=2sectheta prove that cos theta= 2^1/2 cosalpha/2
If sec(theta+alpha) + sec(theta-alpha)=2sectheta prove that cos theta= 2^1/2 cosalpha/2

Last Activity: 3 Years ago

Last Activity: 4 Years ago

Last Activity: 4 Years ago

Last Activity: 4 Years ago

Last Activity: 4 Years ago