Flag Physical Chemistry> Please solve the question labelled as num...
question mark

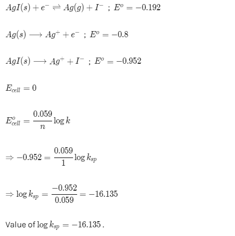
Please solve the question labelled as number 58 in the image I have provided.

Ujjwal , 9 Years ago
Grade 12
anser 1 Answers
Rituraj Tiwari

Last Activity: 5 Years ago

657-2208_Annotation 2020-08-26 202415.png
star
LIVE ONLINE CLASSES

Prepraring for the competition made easy just by live online class.

tv

Full Live Access

material

Study Material

removal

Live Doubts Solving

assignment

Daily Class Assignments