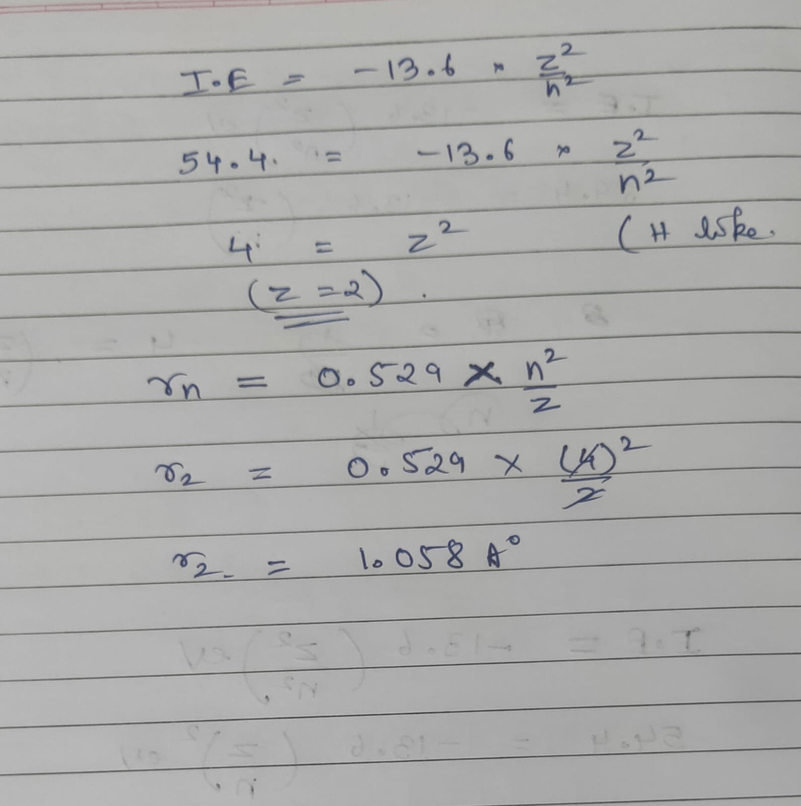
Ionisation energy of a hydrogen like species is 54.4eV. Calculate radius of second Bohr orbit of this species.
Ionisation energy of a hydrogen like species is 54.4eV. Calculate radius of second Bohr orbit of this species.

Last Activity: 3 Years ago

Last Activity: 3 Years ago


Last Activity: 3 Years ago
