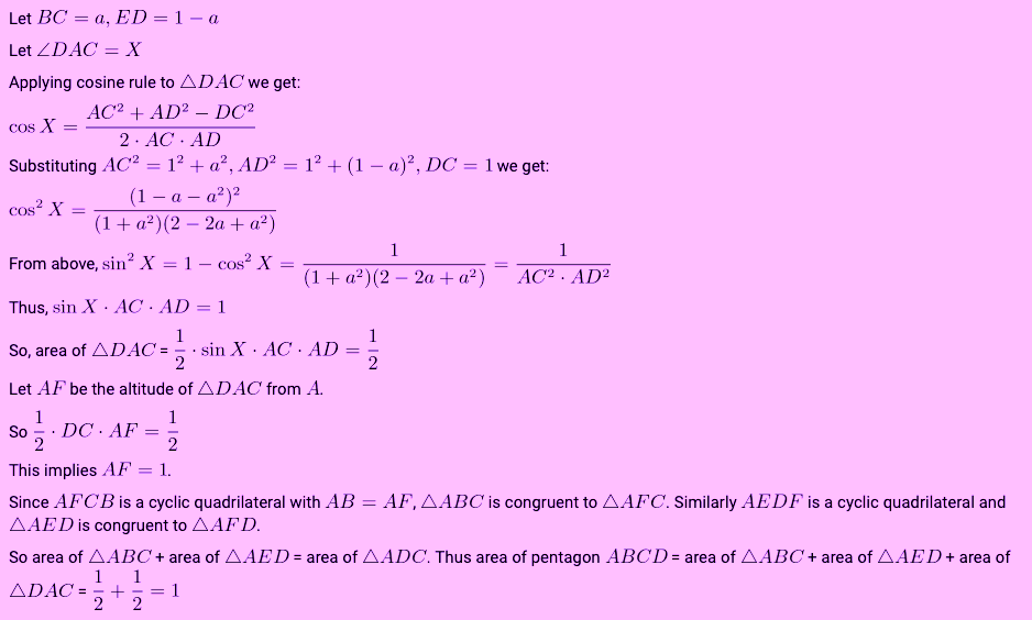
In the pentagon ABCDE, angle ABC = angle AED = 90°, AB = CD = AE = BC + DE = 1. Find the area of ABCDE.
In the pentagon ABCDE, angle ABC = angle AED = 90°, AB = CD = AE = BC + DE = 1. Find the area of ABCDE.


Last Activity: 3 Years ago

Last Activity: 3 Years ago


Last Activity: 4 Years ago

Last Activity: 4 Years ago