Flag Analytical Geometry> I have a doubt in this question. Plz answ...
question mark

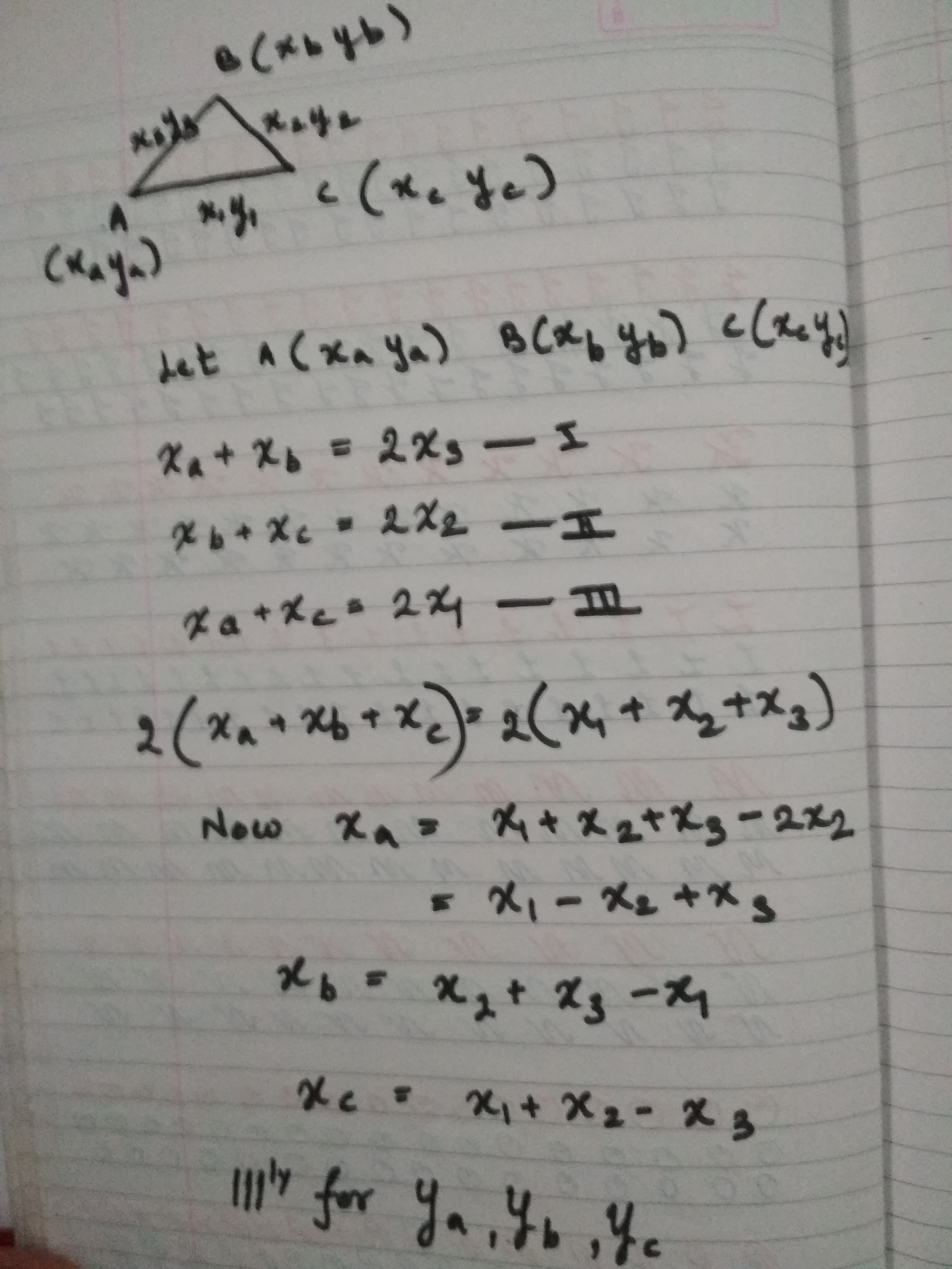
I have a doubt in this question. Plz answer it as fast as possible.

Aarshi , 6 Years ago
Grade 9
anser 1 Answers
Saurabh Koranglekar
576-2491_15624623806211811338921.jpg
Last Activity: 6 Years ago
star
LIVE ONLINE CLASSES

Prepraring for the competition made easy just by live online class.

tv

Full Live Access

material

Study Material

removal

Live Doubts Solving

assignment

Daily Class Assignments