Chapter 22: Differential Equations – Exercise 22.9
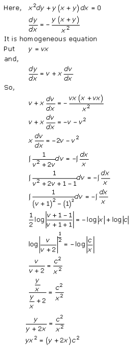
Differential Equations – Exercise 22.9 – Q.1

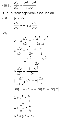
Differential Equations – Exercise 22.9 – Q.2
Differential Equations – Exercise 22.9 – Q.3
Differential Equations – Exercise 22.9 – Q.4
Differential Equations – Exercise 22.9 – Q.5
Differential Equations – Exercise 22.9 – Q.6

Complete Your Profile
View courses by askIITians


Design classes One-on-One in your own way with Top IITians/Medical Professionals
Click Here Know More

Complete Self Study Package designed by Industry Leading Experts
Click Here Know More

Live 1-1 coding classes to unleash the Creator in your Child
Click Here Know More




