Chapter 30: Derivatives – Exercise 30.5
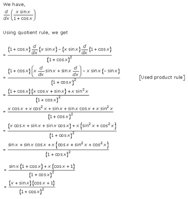
Derivatives – Exercise – 30.5 – Q.1

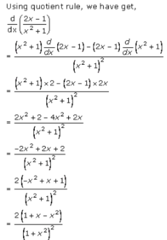
Derivatives – Exercise – 30.5 – Q.2
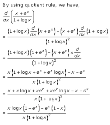
Derivatives – Exercise – 30.5 – Q.3
Derivatives – Exercise – 30.5 – Q.4
Derivatives – Exercise – 30.5 – Q.5
Derivatives – Exercise – 30.5 – Q.6
Derivatives – Exercise – 30.5 – Q.7
Derivatives – Exercise – 30.5 – Q.8
Derivatives – Exercise – 30.5 – Q.9
Derivatives – Exercise – 30.5 – Q.10
Derivatives – Exercise – 30.5 – Q.11

Complete Your Profile
View courses by askIITians


Design classes One-on-One in your own way with Top IITians/Medical Professionals
Click Here Know More

Complete Self Study Package designed by Industry Leading Experts
Click Here Know More

Live 1-1 coding classes to unleash the Creator in your Child
Click Here Know More









