Chapter 30: Derivatives – Exercise 30.4
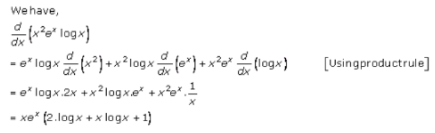
Derivatives – Exercise – 30.4 – Q.1

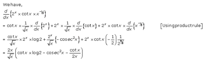
Derivatives – Exercise – 30.4 – Q.2

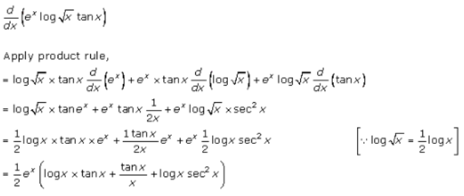
Derivatives – Exercise – 30.4 – Q.3

Derivatives – Exercise – 30.4 – Q.4

Derivatives – Exercise – 30.4 – Q.5

Derivatives – Exercise – 30.4 – Q.6

Derivatives – Exercise – 30.4 – Q.7

Derivatives – Exercise – 30.4 – Q.8

Derivatives – Exercise – 30.4 – Q.9

Derivatives – Exercise – 30.4 – Q.10

Derivatives – Exercise – 30.4 – Q.11

Derivatives – Exercise – 30.4 – Q.12

Derivatives – Exercise – 30.4 – Q.13

Derivatives – Exercise – 30.4 – Q.14

Derivatives – Exercise – 30.4 – Q.15

Derivatives – Exercise – 30.4 – Q.16

Derivatives – Exercise – 30.4 – Q.17

Complete Your Profile
View courses by askIITians


Design classes One-on-One in your own way with Top IITians/Medical Professionals
Click Here Know More

Complete Self Study Package designed by Industry Leading Experts
Click Here Know More

Live 1-1 coding classes to unleash the Creator in your Child
Click Here Know More
