Chapter 30: Derivatives – Exercise 30.1
Derivatives – Exercise – 30.1 – Q.1

Derivatives – Exercise – 30.1 – Q.2

Derivatives – Exercise – 30.1 – Q.3

Derivatives – Exercise – 30.1 – Q.4

Derivatives – Exercise – 30.1 – Q.5

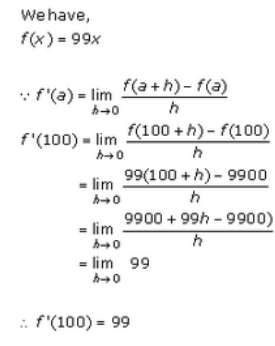
Derivatives – Exercise – 30.1 – Q.6

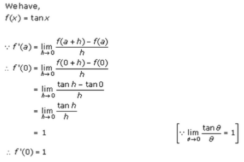
Derivatives – Exercise – 30.1 – Q.7(i)
.png)
Derivatives – Exercise – 30.1 – Q.7(ii)
.png)
Derivatives – Exercise – 30.1 – Q.7(iii)
.png)
Derivatives – Exercise – 30.1 – Q.7(iv)
.png)
Complete Your Profile
View courses by askIITians


Design classes One-on-One in your own way with Top IITians/Medical Professionals
Click Here Know More

Complete Self Study Package designed by Industry Leading Experts
Click Here Know More

Live 1-1 coding classes to unleash the Creator in your Child
Click Here Know More
