Chapter 29: Limits – Exercise 29.6
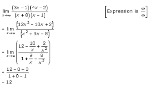
Limits – Exercise – 29.6 – Q.1

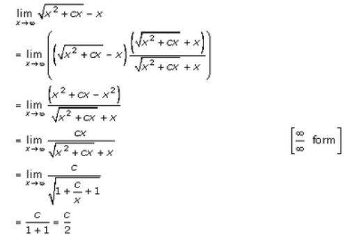
Limits – Exercise – 29.6 – Q.2
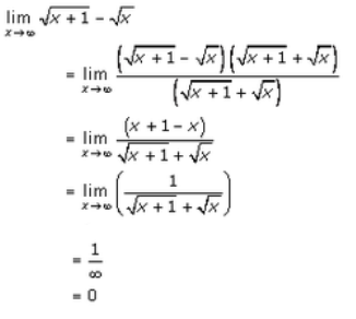
Limits – Exercise – 29.6 – Q.3
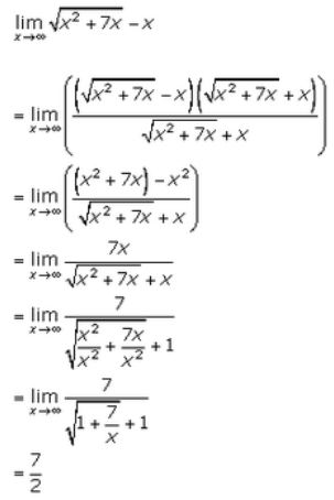
Limits – Exercise – 29.6 – Q.4
Limits – Exercise – 29.6 – Q.5
Limits – Exercise – 29.6 – Q.6
Limits – Exercise – 29.6 – Q.7

Limits – Exercise – 29.6 – Q.8
Limits – Exercise – 29.6 – Q.9
Limits – Exercise – 29.6 – Q.10
Limits – Exercise – 29.6 – Q.11
Limits – Exercise – 29.6 – Q.12

Limits – Exercise – 29.6 – Q.13

Complete Your Profile
View courses by askIITians


Design classes One-on-One in your own way with Top IITians/Medical Professionals
Click Here Know More

Complete Self Study Package designed by Industry Leading Experts
Click Here Know More

Live 1-1 coding classes to unleash the Creator in your Child
Click Here Know More









