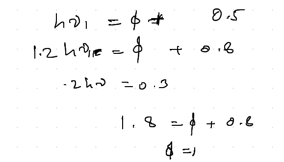
The work function if kinetic energy raises from 0.5to 0.8 and energ of incident photon is 20% raised
The work function if kinetic energy raises from 0.5to 0.8 and energ of incident photon is 20% raised



Last Activity: 4 Years ago

Last Activity: 4 Years ago

Last Activity: 4 Years ago