Flag Organic Chemistry> I want solution for given problem with de...
question mark

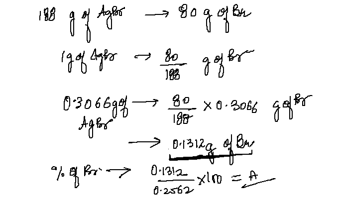
I want solution for given problem with detailed solution.

Mallikarjuna , 9 Years ago
Grade 11
anser 1 Answers
Ravleen Kaur
560-1607_1.PNG
Last Activity: 6 Years ago
star
LIVE ONLINE CLASSES

Prepraring for the competition made easy just by live online class.

tv

Full Live Access

material

Study Material

removal

Live Doubts Solving

assignment

Daily Class Assignments