(a)
The correct option is: (D) will have an identically zero z component, and maybe an identically zero component in x or y direction.
(b)
The correct option is: (D) will have an identically zero z component, and maybe an identically zero component in x or y direction
(a)
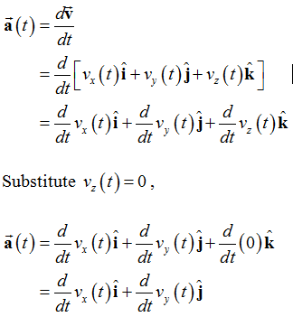
The acceleration of the object with velocity vector

is:

From this equation it is clear that the acceleration of the object depends on the change in magnitude of x component of velocity and y component of velocity respectively. Therefore the acceleration vector have an identically zero z component. Depending upon the values of v
x (t) and v
y (t), the x and y component of acceleration vector can also become zero.
However, if v
x (t) and v
y (t) are time dependent functions, x and y component of acceleration vector is guaranteed to be non-zero.
Therefore, the correct option is (D), and the rest are ruled out.
It is important to note that (C) comes closer to (D), but (C) rules out the probability that the acceleration vector can have zero x and y components.
(b)
It can be deduced from equations

and

that the object move in the xy the plane, and its motion is restricted in two dimensions. Therefore there will be no z component in the position vector of the object, however there will be components of position vector in x and y directions respectively.
The object can also have identically zero x and y components of position vector (if the objects move along the axis), but this would ensure that either v
x (t) of or v
y (t) to be zero.
Therefore, the correct option is (D), and the rest are ruled out