Flag Mechanics> A train is moving with constant speed 10m...
question mark

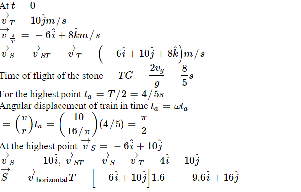
A train is moving with constant speed 10m/s in a circle of radius 5 m. at time t=0, train is at point p and moving in anticlockwise direction. at this instant a stone is thrown from the train with speed 10 m/s relative to train towards negative x axis at an angle of 37 with vertical z axis. find coordinates of points on the ground where it finally falls and that of the highest point.?

Aastha , 9 Years ago
Grade 11
anser 1 Answers
Rituraj Tiwari
657-318_Annotation 2020-08-19 134918.png
Last Activity: 5 Years ago
star
LIVE ONLINE CLASSES

Prepraring for the competition made easy just by live online class.

tv

Full Live Access

material

Study Material

removal

Live Doubts Solving

assignment

Daily Class Assignments