Flag Mechanics> A juggler juggles 5 balls with two hands....
question mark

A juggler juggles 5 balls with two hands. Each ball rises 2 meters above her hands. Approximately how many times per minute does each hand toss a ball?

Hrishant Goswami , 10 Years ago
Grade 10
anser 2 Answers
Jitender Pal
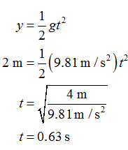
Given that the ball rise 2 m above the hand, the distance (y) travelled by the ball when he descends from the maximum height to reach the juggler hand is 2 m. Also the free fall acceleration is 9.81 m/s2.
Substitute the given values in equation (1),
235-688_40.PNG
The time (t’) for which a ball stays in the air is given by multiplying t by 2 as:
235-2249_41.PNG
The juggler has to juggles each ball once before time t’ so that he gets ready to juggle the ball reaching him again.
235-2409_43.PNG
Last Activity: 10 Years ago
Shilpi Mazumdar
Hooooo noooooo boooooo....Chhhaaaaaaaa..... Jhaaaaaaaaaa.......... Hiiiiiiiiii.... Huuuuu......... Laaaaaaaa........
Last Activity: 8 Years ago
star
LIVE ONLINE CLASSES

Prepraring for the competition made easy just by live online class.

tv

Full Live Access

material

Study Material

removal

Live Doubts Solving

assignment

Daily Class Assignments