Assumption:
We neglect the effect of air resistance in both the planets.
(a) Let us assume that the stone rise to height (say h) and was thrown upward with initial speed v
0y on Earth. Therefore the downward acceleration experienced by the stone is equal to the acceleration due to gravity on Earth i.e.g .When the stone reaches its maximum height, its final velocity (say v
y) is zero.
From the equation of kinematics, we first calculate the time taken (say t) by the stone to reach its maximum height as:

Substituting the given values, we have

…… (1)

Now we use another equation of kinematics to calculate the maximum height travelled by the stone, given as:

Under the initial condition and , the equation above changes to

Substituting the value of from equation (1), we have

Therefore the height to which the stone rises is equal to the square of the initial speed divided by twice the acceleration due to gravity on Earth i.e. g .
Now let us assume that the stone rise to height

and was thrown upward with initial v
0yspeed on Planet. Therefore the downward acceleration experienced by the stone is equal to the acceleration due to gravity on Planet i.e.2g .
When the stone reaches its maximum height, its final velocity (say v
y) is zero.
From the equation of kinematics, we first calculate the time taken (say t) by the stone to reach its maximum height as:

Substituting the given values, we have


…… (2)
Now we use another equation of kinematics to calculate the maximum height travelled by the stone, given as:

Under the initial condition y
0 = 0 and

, the equation above changes to

Substituting the value of t rom equation (2), we have

Therefore the height to which the stone rises is equal to the square of the initial speed divided by four times the acceleration due to gravity on Earth i.e. g.
On comparing the expressions for h and

, we have

Therefore the height to which the stone rises on Earth is equal to twice the height on planet.
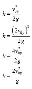
(b) If the initial speed v
0 was doubled, the height to which the stone rises on Earth would be:

Since the value of h is twice the value of

, the height to which the stone rises on Planet is:

Therefore the height to which the stone rise on the Planet and on Earth increases by a factor of 4.