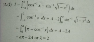
Flag Integral Calculus> how do we get 3 rd step from 2 nd step i ...
question mark

how do we get 3rd step from 2ndstep i think u dont need of any question u can check in answer itself

Sathwik reddy , 4 Years ago
Grade
anser 1 Answers
Askiitians Tutor Team

To understand how we transition from the second step to the third step in a process, let’s break it down logically. This kind of reasoning is often found in mathematical proofs, scientific experiments, or even in everyday problem-solving scenarios. The key is to identify the relationship between the steps and the underlying principles that connect them.

Identifying the Steps

First, let’s clarify what the second and third steps are. For instance, if we’re discussing a mathematical equation, the second step might involve simplifying an expression, while the third step could involve solving for a variable. The transition between these steps typically relies on applying a specific rule or principle.

Logical Progression

To illustrate this, consider a simple algebraic example:

  • Step 1: Start with the equation 2x + 3 = 11.
  • Step 2: Subtract 3 from both sides to isolate the term with x: 2x = 8.
  • Step 3: Divide both sides by 2 to solve for x: x = 4.

In this case, the transition from Step 2 to Step 3 is achieved by applying the division operation, which is a fundamental property of equality. This property states that if two expressions are equal, you can divide both sides by the same non-zero number without changing the equality.

Understanding the Connection

To further clarify, let’s use an analogy. Imagine you’re following a recipe:

    Step 1: Gather your ingredients.
  • Step 2: Mix the dry ingredients together.
  • Step 3: Add wet ingredients to the mixture.

Here, the transition from mixing dry ingredients to adding wet ones is logical because the recipe instructs you to combine them in that order to achieve the desired consistency. Each step builds upon the previous one, ensuring that the final product turns out as intended.

Applying This to Different Contexts

This method of reasoning can be applied across various subjects, whether you’re solving equations in math, conducting experiments in science, or even writing essays in language arts. The key is to recognize the logical connections between steps and to understand the rules or principles that govern those transitions.

In summary, moving from the second step to the third step involves applying a specific operation or principle that logically follows from the previous step. By understanding these connections, you can navigate through complex processes more effectively and confidently.

ApprovedApproved
Last Activity: 8 Months ago
star
LIVE ONLINE CLASSES

Prepraring for the competition made easy just by live online class.

tv

Full Live Access

material

Study Material

removal

Live Doubts Solving

assignment

Daily Class Assignments