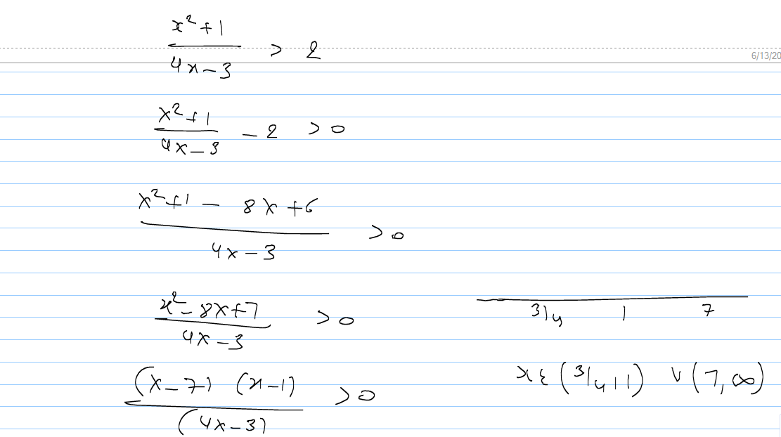
solve inequalityif1.) 1/x - x^2 -1 2.)`x^2 + 1 /4x-3 >2
solve inequality
if
1.) 1/x - x^2 -1
2.)`x^2 + 1 /4x-3 >2

Let S={x:x belongs to R(√3+√2)^(x^2-4) - (√3-√2)^(x^2-4)=10}. Then n(S) is equal to-
Last Activity: 5 Months ago

Last Activity: 3 Years ago

Last Activity: 3 Years ago

Last Activity: 3 Years ago
