Flag General Physics> Two circular coils X and Y having radii R...
question mark

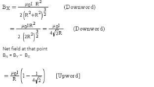
Two circular coils X and Y having radii R and(R/2) respectively are placed in horizontal plane with their centres coinciding with each other. Coil X has a current I flowing through it in the clockwise sense. What must be the current in coil Y to make the total magnetic field at the common centre of the two coils, zero?

Manvendra Singh chahar , 12 Years ago
Grade Upto college level
anser 1 Answers
Saurabh Koranglekar
576-1148_1.PNG576-2084_2.PNG
Last Activity: 5 Years ago
star
LIVE ONLINE CLASSES

Prepraring for the competition made easy just by live online class.

tv

Full Live Access

material

Study Material

removal

Live Doubts Solving

assignment

Daily Class Assignments