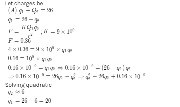
I given question in image form


In viewing through a magnifying glass, one usually positions one's eyes very close to the lens. Does angular magnification change if the eye is moved back?
Last Activity: 2 Months ago

Last Activity: 3 Years ago

Last Activity: 3 Years ago

Last Activity: 3 Years ago

Last Activity: 3 Years ago