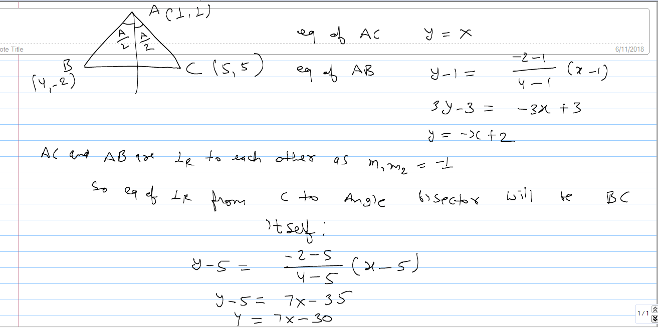
Given vertices of a triangle A(1,1) B(4,-2) C(5,5) find the equation of the perpendicular dropped from C to the internal bisector of angle A
Given vertices of a triangle A(1,1) B(4,-2) C(5,5) find the equation of the perpendicular dropped from C to the internal bisector of angle A











