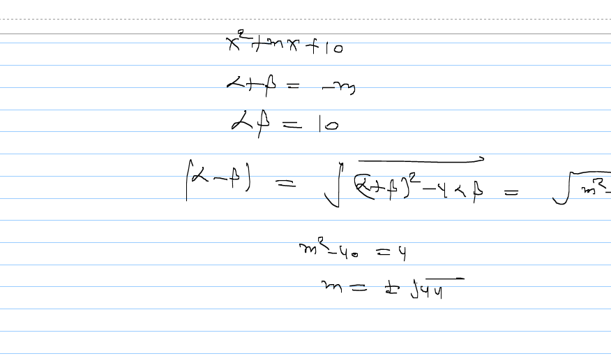
The values of m for which difference between roots of the equation x2+mx+10=0 is 2 are...
The values of m for which difference between roots of the equation x2+mx+10=0 is 2 are...


Last Activity: 2 Years ago

Last Activity: 2 Years ago

Last Activity: 3 Years ago
