Flag Algebra> THE REFLECTION OF POINT [2, -1 , 3 ] in t...
question mark

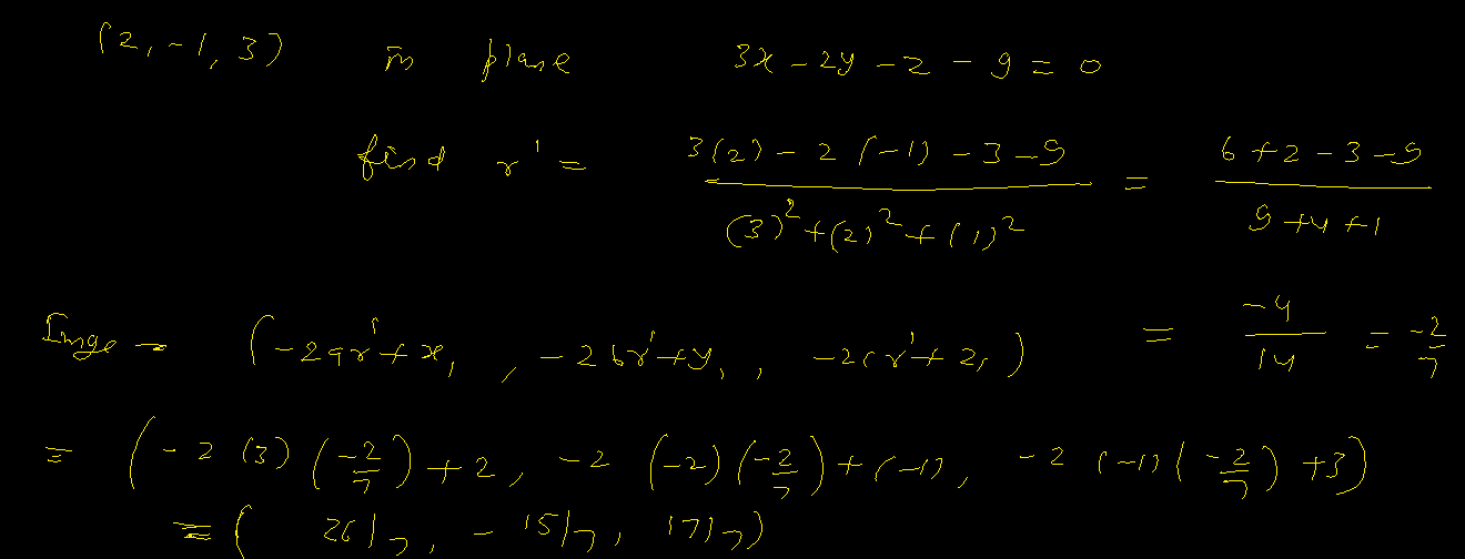
THE REFLECTION OF POINT [2, -1 , 3 ] in the plane 3x - 2y - z = 9 is show answer

Aditi , 7 Years ago
Grade 12th pass
anser 1 Answers
Deepak Kumar Shringi
562-1055_Capture.PNG
ApprovedApproved
Last Activity: 7 Years ago
star
LIVE ONLINE CLASSES

Prepraring for the competition made easy just by live online class.

tv

Full Live Access

material

Study Material

removal

Live Doubts Solving

assignment

Daily Class Assignments