Flag Algebra> If there are three square matrices A,B,C ...
question mark

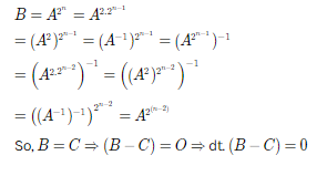
If there are three square matrices A,B,C of same order satisfying the equation A²=A-¹ and let B=A²ñ and C=A²(n-2) then which of the following statements are true?1. Det(B-C)=02. (B+C)(B-C)=03. B must be equal to C 4. None of the above

Santosh Kumar , 9 Years ago
Grade 12th pass
anser 1 Answers
Saurabh Koranglekar
576-2096_1.PNG
Last Activity: 6 Years ago
star
LIVE ONLINE CLASSES

Prepraring for the competition made easy just by live online class.

tv

Full Live Access

material

Study Material

removal

Live Doubts Solving

assignment

Daily Class Assignments