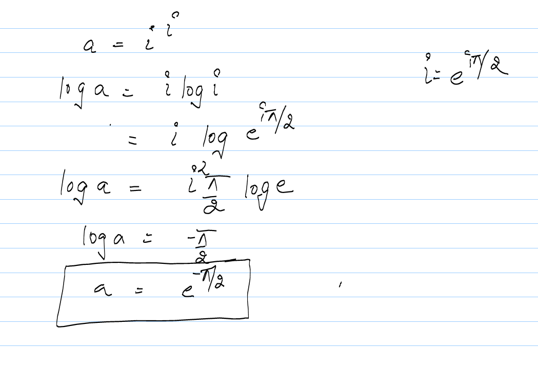
- If a = ii, where i = iota.
Then Prove that ; a = e-pi/2 .
- If a = ii, where i = iota.
Then Prove that ;
a = e-pi/2 .


Last Activity: 1 Year ago

Last Activity: 1 Year ago

Last Activity: 3 Years ago
