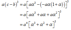
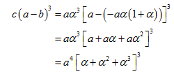
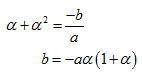
Given one root is the square of the other in the equation ax2+bx+c=0, prove that c(a-b)3=a(c-b)3
Given one root is the square of the other in the equation ax2+bx+c=0, prove that c(a-b)3=a(c-b)3


Last Activity: 1 Year ago

Last Activity: 1 Year ago

Last Activity: 3 Years ago
