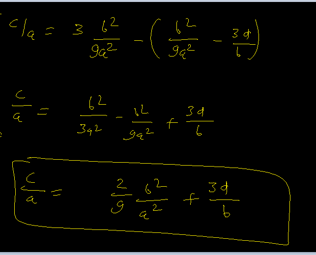
find relationship between a,b,c,d in ax^3+bx^2+cx+d if the roots of the polynomial are in arithmetic progression
find relationship between a,b,c,d in ax^3+bx^2+cx+d if the roots of the polynomial are in arithmetic progression


Last Activity: 2 Years ago

Last Activity: 2 Years ago

Last Activity: 3 Years ago
