Flag Algebra> Find a point on z-axis which is equidista...
question mark

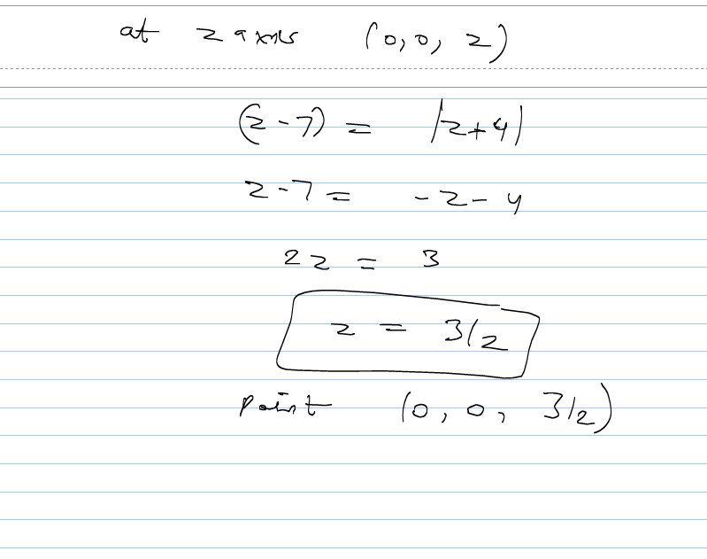
Find a point on z-axis which is equidistant from (1,5,7)and (5,1,-4).

mohit , 7 Years ago
Grade 6
anser 1 Answers
Deepak Kumar Shringi
562-2002_Capture.PNG
Last Activity: 7 Years ago
star
LIVE ONLINE CLASSES

Prepraring for the competition made easy just by live online class.

tv

Full Live Access

material

Study Material

removal

Live Doubts Solving

assignment

Daily Class Assignments