Flag Algebra> fffffffffffffffffffffffffffffffffffffffff...
question mark

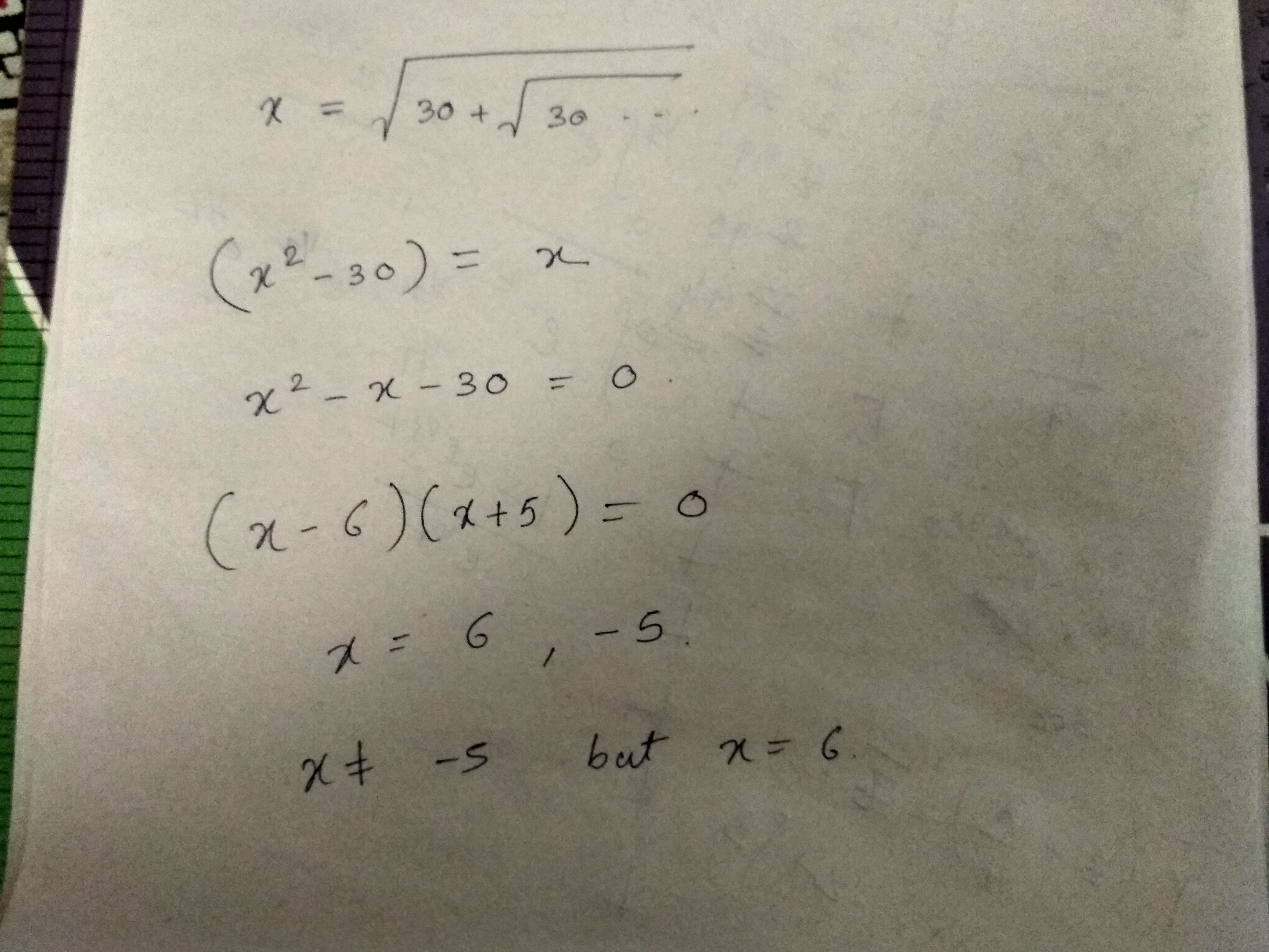
ffffffffffffffffffffffffffffffffffffffffffffffind x:if x=√(30+√(30+√(30...∞)))

Nishtha Gahlot , 9 Years ago
Grade 12
anser 1 Answers
Saurabh Koranglekar
576-1803_15861685122682139616066.jpg
Last Activity: 5 Years ago
star
LIVE ONLINE CLASSES

Prepraring for the competition made easy just by live online class.

tv

Full Live Access

material

Study Material

removal

Live Doubts Solving

assignment

Daily Class Assignments